Murray Loop 측정법에 의한 고장점 계산
[문제] 도체 단면적 200 mm2 케이블 800 m와 150 mm2의 케이블 600m가 접속된 지중 케이블의 1 선 지락 사고 시 Murray Loop 측정기로 측정한 결과 눈금 600에서 평형되었다. Murray Loop 측정법에 대해서 설명하고 측정 단에서 고장점까지의 거리를 산출하라.

: 1. Murray Loop 측정법
(1) Wheat Stone Bridge 를 이용하여 사고 점을 표정 한다.
(2) 측정 대상 선로는 사고 도체와 귀로 건전 도체가 동일한 굵기와 길이로 대응되어야 한다.
(3) 사고 도체와 건전 도체를 말단에서 접속한 후 측정한다.
(4) 비교적 오차가 적고 취급이 간편하다.
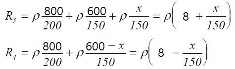
2. 고장점 까지의 거리 산출
문제에 주어진 그림에서 말단을 접속하면 그림과 같은 Bridge 회로가 된다. 여기서,

R1 : 건전도체 측정 단자에서 눈금 600까지의 저항
R2 : 사고도체 측정 단자에서 눈금 600까지의 저항
R3 : 건전 도체 측정 단에서 고장 점까지의 저항
R4 : 고장 도체 측정 단에서 고장 점까지의 저항
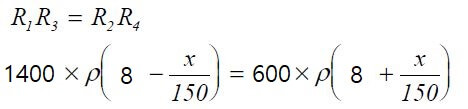
R1 , R2 는 단자에서 눈금 600까지의 거리에 비례할 것이므로
R2 = 600
R1 = 2000 - 600 = 1400
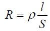
전선의 저항은

이므로,
1) 종단에서 고장 점까지의 거리를 x m라면

2) Bridge 가 평형 되었을 때는

x = 479.3 m
따라서 측정 단에서 고장 점까지의 거리는
800 + 600 - 479.3 = 920.7 m
'엔지니어링 > 전기설비 & 전력기술' 카테고리의 다른 글
| 지락사고의 위험성 (0) | 2023.01.23 |
|---|---|
| 테브난의 정리와 중첩의 원리를 이용한 전류 계산 (0) | 2022.10.21 |
| 변압기 단락 전류 계산 (0) | 2022.10.21 |
| KEC 기준에 따른 전압의 종별 (0) | 2022.09.12 |
| 소형 모듈 원전(SMR)에 대한 설명 (0) | 2022.08.27 |
댓글