콘덴서 설치효과와 용량 계산
(1) 콘덴서 설치효과
① 변압기의 손실 감소
변압기의 동손은 전류의 제곱에 비례하고, 전류의 크기는 역률에 반비례하므로 결 국 변압기 동손은 역률의 제곱에 반비례해서 감소하게 된다.
② 배전선로의 손실 감소
배전선로의 손실은 선로의 저항을 R이라 하면 P = I 2 R * 10 -3 kW 가 되는데 전류는 역률에 반비례해서 감소하므로 결국 선로 손실도 역률의 제곱에 반비례해서 감소하게 된다.
③ 설비의 이용률 향상
예를 들어 1000 kVA 용량의 변압기를 역률 0.6 으로 사용하면 600 kW, 역율 0.9로 사용하면 900 kW를 사용할 수 있으므로 그만큼 이용률이 향상되고, 같은 전력을 사용한다면 그만큼 여유도가 증가하게 된다.
④ 전압강하의 감소
송전단 전압을 ES, 수전단 전압을 ER, 부하전 류를 I, 부하의 역률각을 θ, 선로의 임피던스를 R+jX라고 하면 송수 전단 전압 간의 벡터도는 그림과 같이 되는데 여기서,


로 되는데 역률이 개선되면 우선 동일한 전력에서 전류 I 가 역율에 반비례해서 감 소하고, 또한 cosθ 의 값이 커짐에 따라서 sinθ 의 값은 작아지게 되는데 선로 임 피던스는 일반적으로 R<<X 이므로, 전압강하는 cosθ의 값이 커질수록 감소한다.
⑤ 전기요금 절약
한전의 공급규정에 의하면 역율 90% 를 기준으로 하여 수용가의 역율이 이보다 1% 내려가는데 따라서 기본요금의 1%씩 추가하고, 반대로 90% 를 초과할 때는 95%까지 기본요금의 1%씩을 감면해 주므로 역율이 나쁜 경우에는 콘덴서를 설치하여 역률을 개선해 줌으로써 전기요금을 절약할 수 있다.
콘덴서 설치 전 역률을 cosθ1 , 설치후 역율을 cosθ2라고 하면 설치 전후 전압강하는

윗식에서 θ1 > θ2 → tanθ1 > tanθ2 이므로 e1 > e2 가 된다.
(2) 콘덴서 용량
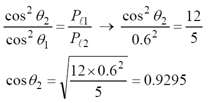
전류는 역률에 반비례하고 손실은 역률의 제곱에 반비례한다. 즉

필요한 콘덴서 용량은
Q = 1000 *0.6*[tan(cos^-1 0.6) - tan(cos^-1 0.9295)] = 562 [kVar ]
'엔지니어링 > 전기설비 & 전력기술' 카테고리의 다른 글
| 변압기의 용량을 과도하게 설계했을 때 발생되는 문제점 (0) | 2021.12.22 |
|---|---|
| 병렬운전 발전기의 기전력 크기가 다를 때 일어나는 현상 (1) | 2021.12.22 |
| 스마트 그리드 (0) | 2021.12.22 |
| 케이블 수트리(Water Tree)의 발생원인 및 발생부위별 분류 (0) | 2021.12.22 |
| 태양광 발전시스템 서지보호장치의 종류와 특성 (0) | 2021.12.22 |
댓글